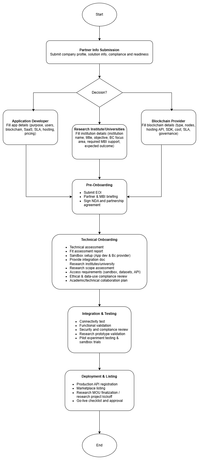
Onboarding SOP¶
Welcome to the MBI Partner Onboarding process. This guide will walk you through all the necessary steps to become an integrated partner in the MBI ecosystem.
1. Partner Information¶
Submission Requirement
All prospective partners are required to submit the following as part of the onboarding SOP.
1.1 Partner Profile¶
Please provide the following information:
| Field | Description |
|---|---|
| Company Logo | Image in PNG or JPG format |
| Company Legal Name | Official registered business name |
| Registration Number | Business registration number |
| Country of Incorporation | Country where business is registered |
| Website URL | Official company website |
| Contact Information | Primary contact email and phone |
| Proposed Solution(s) Name | Name of your solution/offering |
| Technical Readiness Level | Based on Technology Readiness Level (TRL) |
| Compliance Readiness | MY PDPA, security, data governance status |
Type of Partner (Select one):
- Application Developer
- Blockchain Provider
- MBI Platform Ecosystem
- Research/Academic
1.2 Application Information (For App Developers)¶
Application Developer Section
To be filled by the Application Developer
Application Overview¶
| NO | Question |
|---|---|
| 1 | What is the name of your application/solution? |
| 2 | Please provide your application logo (in PNG or JPG format). |
| 3 | What is the main purpose and value proposition of your application? |
| 4 | Who are your target users? |
| 5 | What are the key use cases your application supports? |
| 6 | Please provide a short description of your application. |
| 7 | Please provide a full description of your application. |
Technical Details¶
| NO | Question |
|---|---|
| 8 | Is your application blockchain-agnostic? (Yes/No) |
| 9 | Is the application SaaS model? If yes, what are the data separation method implemented? |
| 10 | Is the application scalable? |
| 11 | What is the application SLA? |
| 12 | What is the performance rating for the application? |
| 13 | Do the application require on-chain and off-chain storage? |
| 14 | Do you plan to host the application on MBI environment or at your preferred location? |
Blockchain Integration¶
| NO | Question |
|---|---|
| 15 | Which blockchain(s) does your application prefer or require? |
| 16 | Which blockchain features does your application support or need? (e.g., smart contracts, credential issuance, hashing) |
| 17 | Can application's user performs their own smart contract? or is it predefined by the application? |
Business Model¶
| NO | Question |
|---|---|
| 18 | Do you offer any pricing tiers? If yes, please specify. |
| 19 | How do you plan to offer on MBI service fees? |
1.3 Blockchain Network Information (For Blockchain Providers)¶
Blockchain Provider Section
To be filled by the Blockchain Provider
Network Architecture¶
| NO | Question |
|---|---|
| 1 | Is your blockchain Public/Private, or Permissioned/Permissioned-less? |
| 2 | Do you support Permissioned/Permission-less access at L1 or L2? |
| 3 | Do you implement any data sovereignty requirements? If yes, please specify. |
| 4 | Where are your data nodes or validators geographically hosted? |
| 5 | Do you plan to host the blockchain on MBI environment or at your preferred location? |
Network Access & APIs¶
| NO | Question |
|---|---|
| 6 | Do you provide TestNet and MainNet endpoints? (Yes/No — If yes, provide URLs) |
| 7 | What are the main API endpoints or RPC interfaces that applications use to connect? |
| 8 | What authentication/authorization model/method does your network use? |
| 9 | Do you provide an SDK? If yes: Which languages are supported? Can partners request additional language support? |
Performance & Governance¶
| NO | Question |
|---|---|
| 10 | What is your cost structure for blockchain transactions or anchoring operations? (Subscription model/Hybrid model) |
| 11 | How do you plan to offer on MBI service fees? |
| 12 | What is your estimated throughput and latency under normal load? |
| 13 | What is the blockchain SLA? |
| 14 | Who governs your network? (Foundation, consortium, company-owned, hybrid) |
1.4 Research / University / Academic Collaboration Information¶
Reasearch Section
To be filled by the research Institutes, universities or academic partners
Institution & Contact Details¶
| NO | Question |
|---|---|
| 1 | Institution / University Name |
| 2 | Faculty / School / Research Centre |
| 3 | Country |
| 4 | Website URL |
| 5 | Type of Institution (Public / Private / Research Institute / Innovation Lab) |
| 6 | Main Contact Person (Name, Position, Email, Phone) |
| 7 | Supporting Team Members (if any) |
Research Focus & Collaboration Objectives¶
| NO | Question |
|---|---|
| 8 | Main objective of collaboration with MBI (R&D / PoC / Commercialisation / Academic Integration / Talent Development / Others) |
| 9 | Research domain(s) related to blockchain / digital trust (e.g. Supply Chain, Education, Healthcare, EV, IoT, Identity, etc.) |
| 10 | Research / Project Title |
| 11 | Short description of the research/project (100–150 words) |
| 12 | Expected outcomes (Publications / Prototype / Policy input / Commercial solution / Skill development / Others) |
Technical Capability & Requirements¶
| NO | Question |
|---|---|
| 13 | Does your institution currently operate any blockchain lab or nodes? (Yes/No – specify platform) |
| 14 | Which MBI services or infrastructure do you require? (Sandbox / API / TestNet / Credential Issuance / Data Anchoring) |
| 15 | Estimated transaction or data volume for simulation (if known) |
| 16 | What will your institution contribute? (Smart contracts / Data model / Application / Research framework / Others) |
| 17 | Will this project include or release any open-source components? (Yes/No – specify) |
Governance, Data & Intellectual Property¶
| NO | Question |
|---|---|
| 18 | Proposed IP ownership (University / MBI / Joint / To be defined) |
| 19 | Will there be academic publications from this research? (Yes/No – require MBI review? Yes/To be discussed) |
| 20 | Will any personal / real / government data be used? (Yes/No – approval required) |
| 21 | Confirmation of compliance:
|
2. Unified Onboarding SOP for All MBI Partners¶
This section outlines the complete onboarding journey from initial interest to full partnership activation.
A. Pre-Onboarding Phase¶
Getting Started
This phase establishes the foundation of our partnership through documentation and alignment.
1. Expression of Interest (EOI)¶
Submit your partnership application with the following:
Required Submissions:
- Company profile and logo/icon
- Application's logo/icon (for Application Developers)
- Solution overview/marketing statement
2. Partner Briefing Session¶
Briefing Session
Please schedule a meeting to explain the solution offering (application, blockchain or platform ecosystem) based on the above information.
Company Information Briefing:
- Company profile and background
- Solution offering and technical capabilities
MBI information briefing:
- MBI as a national trust layer
- MBI's three pillars:
- 🔐 Trusted Credentials
- 💼 Trusted Transactions
- 📊 Trusted Data
- Integration Architecture Overview (API Gateway, Trust Registry, Service Listing)
- Expectations (Quality, Security and Availability)
3. NDA + Partnership Agreement¶
Documents to be Signed:
| Document | Purpose |
|---|---|
| MoU/Research Collaboration MoU (for universities) | Memorandum of Understanding |
| NDA | Non-Disclosure Agreement |
| MBI Partnership Agreement | Legal partnership terms |
| Branding Usage Guidelines | Logo and brand usage rules |
| API Acceptable Use Policy | API usage terms and conditions |
B. Technical Onboarding Phase¶
Technical Setup
This phase focuses on technical evaluation, sandbox environment setup, and documentation access.
1. Technical Assessment¶
MBI Team Evaluation Process:
- Solution architecture review
- API documentation assessment
- Credential issuance evaluation (if applicable)
- Blockchain network details verification
- Governance model review
- Security assessment
📋 Deliverable: MBI Fit-Assessment Report
2. Sandbox Environment Setup (if applicable)¶
For Application Developers:
- Developer/demo portal login credentials, API keys (development mode) - Account creation
- Access to: Trust Registry, Credential Issuance system, Application sandbox environment
For Blockchain Providers:
- Connectivity test environment, TestNet endpoint validation - Account creation
- Network ID / Chain ID mapping
- Gas model understanding and configuration
3. Integrator's Documentation Package¶
Partners will receive comprehensive documentation:
| Document | Description |
|---|---|
| API Documentation | Complete API reference and guides |
| Integration Data Standards | JSON format specifications |
| Credential Schema Catalogue | Available credential types and formats |
| On-chain / Off-chain Data Model | Data architecture guidelines |
| Best Practice Guide | Security, Resilience, Error Handling |
| Branding & Listing Guidelines | Marketplace presentation standards |
C. Integration & Testing Phase¶
Quality Assurance
Thorough testing ensures a smooth production deployment. All tests must pass before proceeding to deployment.
1. Connectivity Tests¶
Essential Connectivity Validation:
- API handshake verification
- Authentication & authorization testing
- Endpoint health checks
- Latency and performance testing
2. Functional Validation¶
For Application Developers:
| Test Area | Components |
|---|---|
| Credential Management | Issuance and verification workflows |
| Transaction Logging | Complete audit trail verification |
| Data Privacy Compliance | MY PDPA compliance validation |
| SLA Simulation | Performance under load |
| On-chain Simulation | Blockchain transaction testing |
For Blockchain Providers:
| Test Area | Components |
|---|---|
| Transaction Anchoring | Data commitment to blockchain |
| Query Operations | Data retrieval and verification |
| Hash Verification | Cryptographic integrity checks |
| SLA Simulation | Network performance validation |
3. Security & Compliance Review¶
Compliance Requirements:
- MY PDPA compliance verification
- Encryption standards validation
- Logging & auditability mechanisms
- Non-repudiation capabilities
- Disaster recovery procedures
📋 Deliverable: MBI Compliance Clearance Certificate
D. Deployment & Listing Phase¶
Go-Live Preparation
Transition from testing to production with full marketplace visibility.
1. Production API Registration¶
Production Environment Setup:
- Convert/migrate sandbox credentials to production
- Configure rate limits and throttling
- Set up load balancing
- SLA confirmation and monitoring setup
2. MBI Marketplace Listing¶
Your Solution on MBI Marketplace:
Your solution will be published with the following information:
| Listing Component | Details |
|---|---|
| App Name | Official solution name |
| Description | Short and full descriptions |
| Use Cases | Supported business scenarios |
| Credentials Offered | Available credential types |
| Blockchain Network Profile | Supported networks and features |
| Research Institutes → Research listing (optional) | Project summary, collaboration type, expected impact |
3. Go-Live Checklist¶
Final Validation Before Launch:
- Final functional & security test
- Business owner (application developer or blockchain provider) & MBI internal sign-off
E. Post-Onboarding Phase¶
Ongoing Partnership
Continuous support and collaboration to ensure long-term success.
1. Monitoring & Support¶
Continuous Operations Support:
| Service | Description |
|---|---|
| 24/7 Endpoint Monitoring | Real-time system health tracking |
| Issue Escalation Path | Dedicated support channels |
| Monthly Analytics | Performance and usage reports |
| SRE Reports | Site Reliability Engineering insights |
| Compliance Reporting | Ongoing compliance status updates |
2. Partner Enablement¶
Ongoing Collaboration Opportunities:
- 📅 Quarterly Briefings - Stay updated on platform developments
- 🚀 New API Feature Rollout - Early access to new capabilities
- 📢 Joint Marketing - Co-branded promotional activities
- 📖 Case Studies - Success story documentation and sharing
3. Annual Compliance Renewal¶
Yearly Partnership Review:
| Review Component | Purpose |
|---|---|
| Security Posture Review | Annual security assessment |
| Architecture Updates | Technology stack evaluation |
| Regulatory Alignment | Compliance requirements update |
| SLA Renewal | Service level agreement refresh |